您当前位置: 学院首页 > 学生工作 > 公示公告 > 正文

beat365在线唯一官网2018-2019学年家庭经济困难学生认定结果公示

2018年11月23日 17:21  点击:[]

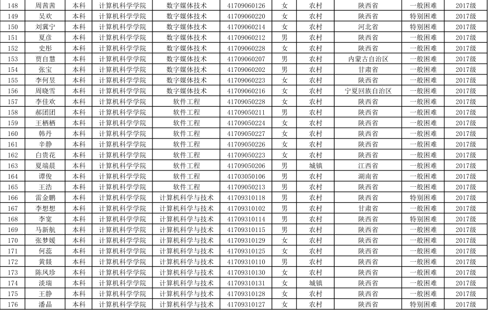
根据学校《关于做好2018-2019学年家庭经济困难学生认定工作的通知》要求,2018-2019学年,我院共有344人被认定为家庭经济困难学生,其中特别困难123人,一般困难221人。现对认定结果予以公示(附详细名单)。

公示时间:2018年11月23日-2018年11月28日。公示地点:7号楼427办公室外走廊公示栏内。公示期间如有异议,请于2018年11月28日之前以书面形式向学院反馈。

反馈地址:7号楼427办公室

反馈电话:62779023(张老师)

反馈邮箱:335014578@qq.com

beat365在线唯一官网

学生工作办公室

2018年11月23日

 

上一条:beat365在线唯一官网2018—2019学年国家助学金评审结果公示

下一条:beat365在线唯一官网2018-2019学年“真维斯助学金”“精进助学金”评审结果公示

关闭

Copyright(c)2016 beat·365(中国)在线唯一官方网站 地址:中国·西安·临潼区·陕鼓大道58号[710600]
联系我们:webmaster@xpu.edu.cn 陕ICP备022000